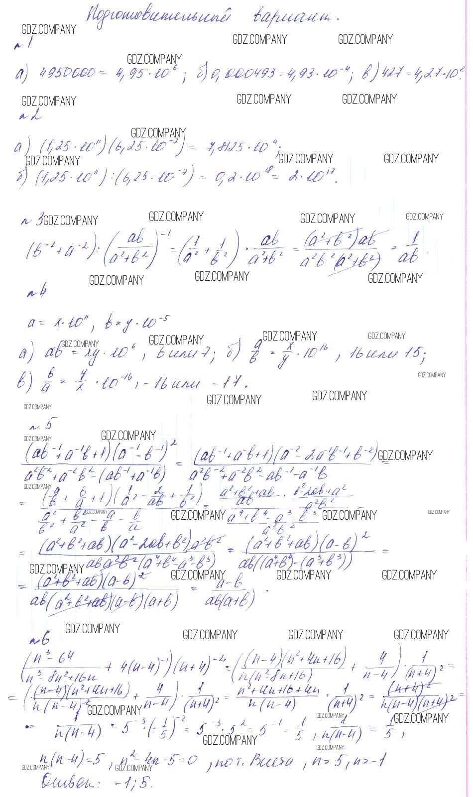
Решебник
самостоятельная работа / ср-22 / подготовительный вариант

Здесь готовые ответы по Алгебре за 8 (восьмой) класс от Феоктистов Дидактические материалы (издательство: Мнемозина от 2013 г.) № подготовительный вариант