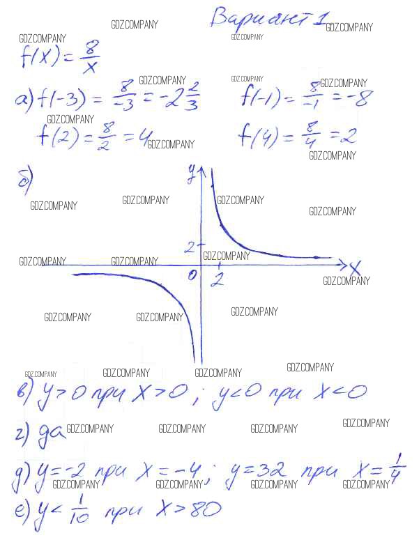
Решебник №1
задание / п-48 / вариант 1

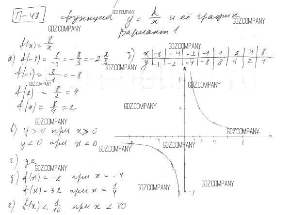
Решебник №2
задание / п-48 / вариант 1

Здесь готовые ответы по Алгебре за 8 (восьмой) класс от Евстафьева, Карп Дидактические материалы (издательство: Просвещение от 2017 г.) № Вариант 1