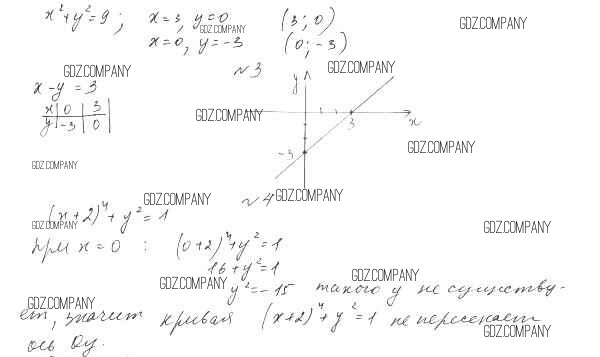
Решебник №1
задание / п-37 / вариант 2


Решебник №2
задание / п-37 / вариант 2

Здесь готовые ответы по Алгебре за 8 (восьмой) класс от Евстафьева, Карп Дидактические материалы (издательство: Просвещение от 2017 г.) № Вариант 2