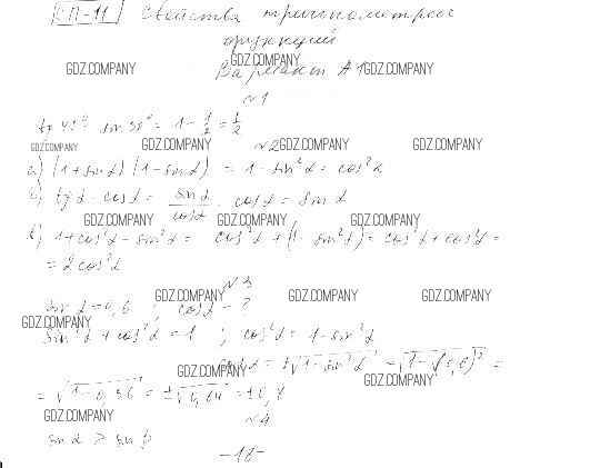
Решебник
геометрия / самостоятельная работа / к учебнику Погорелова / ср-11. вариант / 1

Здесь готовые ответы по Алгебре за 8 (восьмой) класс от Ершова, Голобородько Самостоятельные и контрольные работы (издательство: Илекса от 2014 г.) № 1