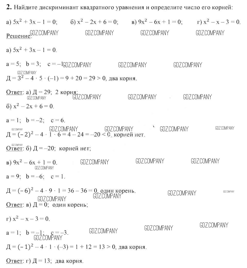
Решебник №1
глава 2 / я проверяю свои знания / 2

Решебник №2
глава 2 / я проверяю свои знания / 2

Здесь готовые ответы по Алгебре за 8 (восьмой) класс от Арефьева, Пирютко Учебник (издательство: Народная асвета от 2018 г.) № 2