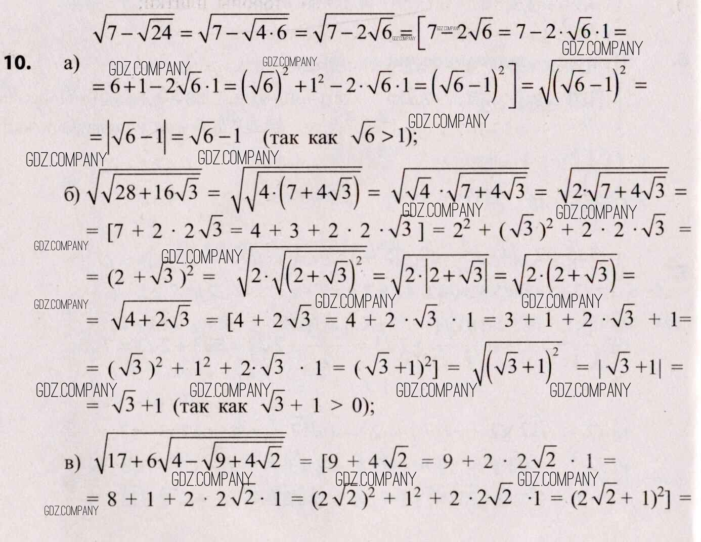
Решебник №1
глава 1 / я проверяю свои знания / 10

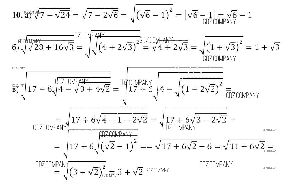
Решебник №2
глава 1 / я проверяю свои знания / 10


Здесь готовые ответы по Алгебре за 8 (восьмой) класс от Арефьева, Пирютко Учебник (издательство: Народная асвета от 2018 г.) № 10