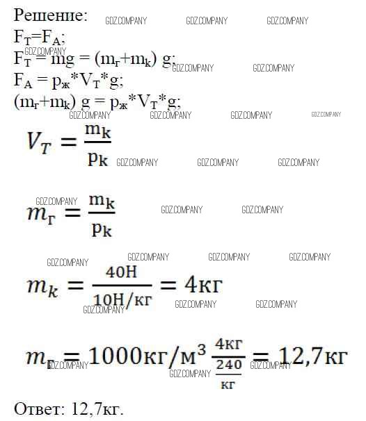
Решебник №1
самостоятельная работа / ср №-8 / вариант №9


Решебник №3
самостоятельная работа / ср №-8 / вариант №9

Здесь готовые ответы по Физике за 7 (седьмой) класс от Марон Дидактические материалы Вертикаль (издательство: Дрофа от 2019 г.) № Вариант №9