Решебник
контрольная работа / кр-6 / подготовительный вариант

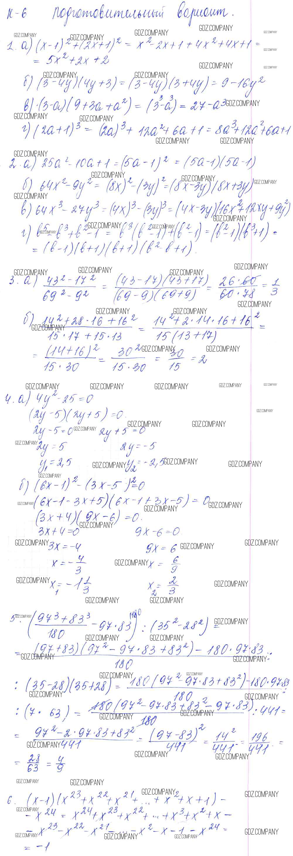
Здесь готовые ответы по Алгебре за 7 (седьмой) класс от Звавич, Дьяконова Дидактические материалы УМК (издательство: Экзамен от 2018 г.) № Подготовительный вариант