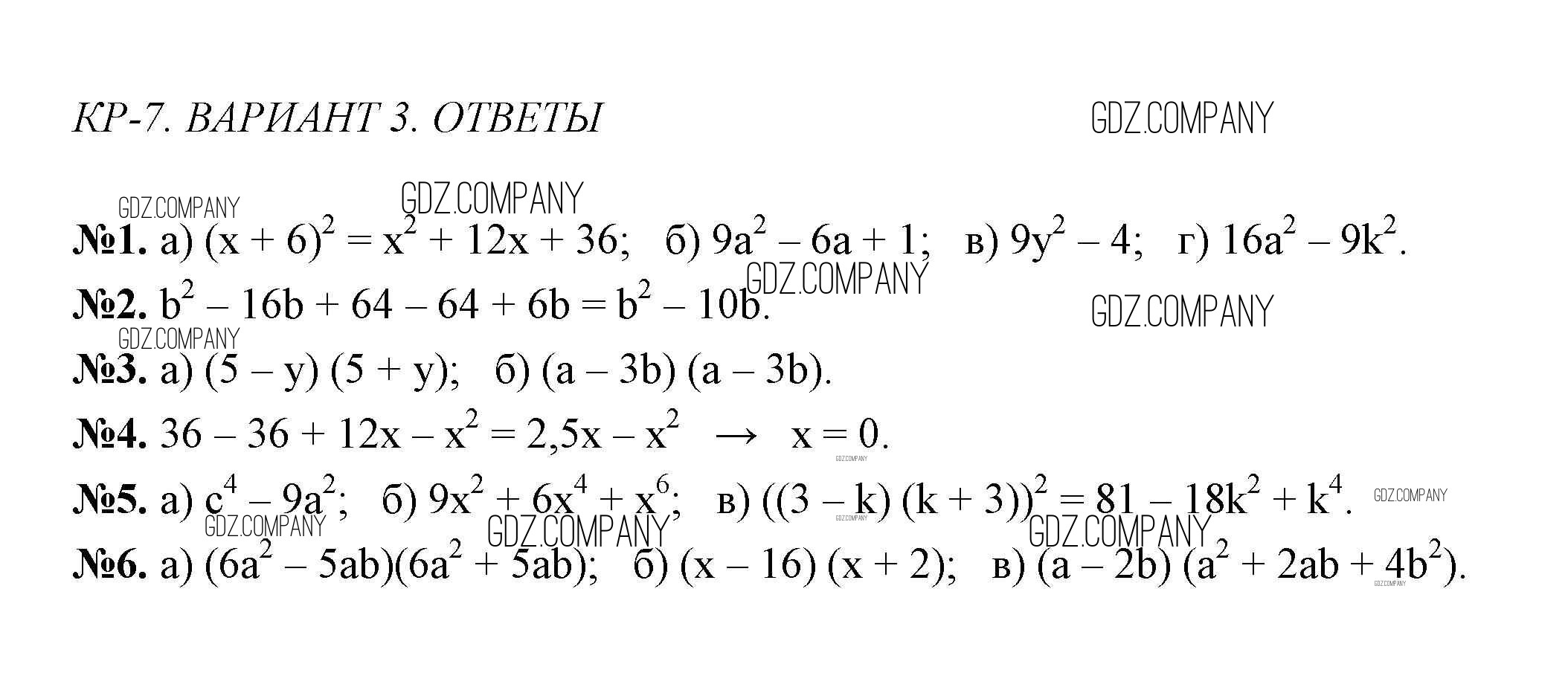
Решебник №1
контрольная работа / вариант 3 / 7


Решебник №2
контрольная работа / вариант 3 / 7

Здесь готовые ответы по Алгебре за 7 (седьмой) класс от Звавич, Кузнецова, Суворова Дидактические материалы (издательство: Просвещение от 2012 г.) № k-4