Решебник №1
самостоятельная работа. вариант / вариант 1 / с-4


Решебник №2
самостоятельная работа. вариант / вариант 1 / с-4

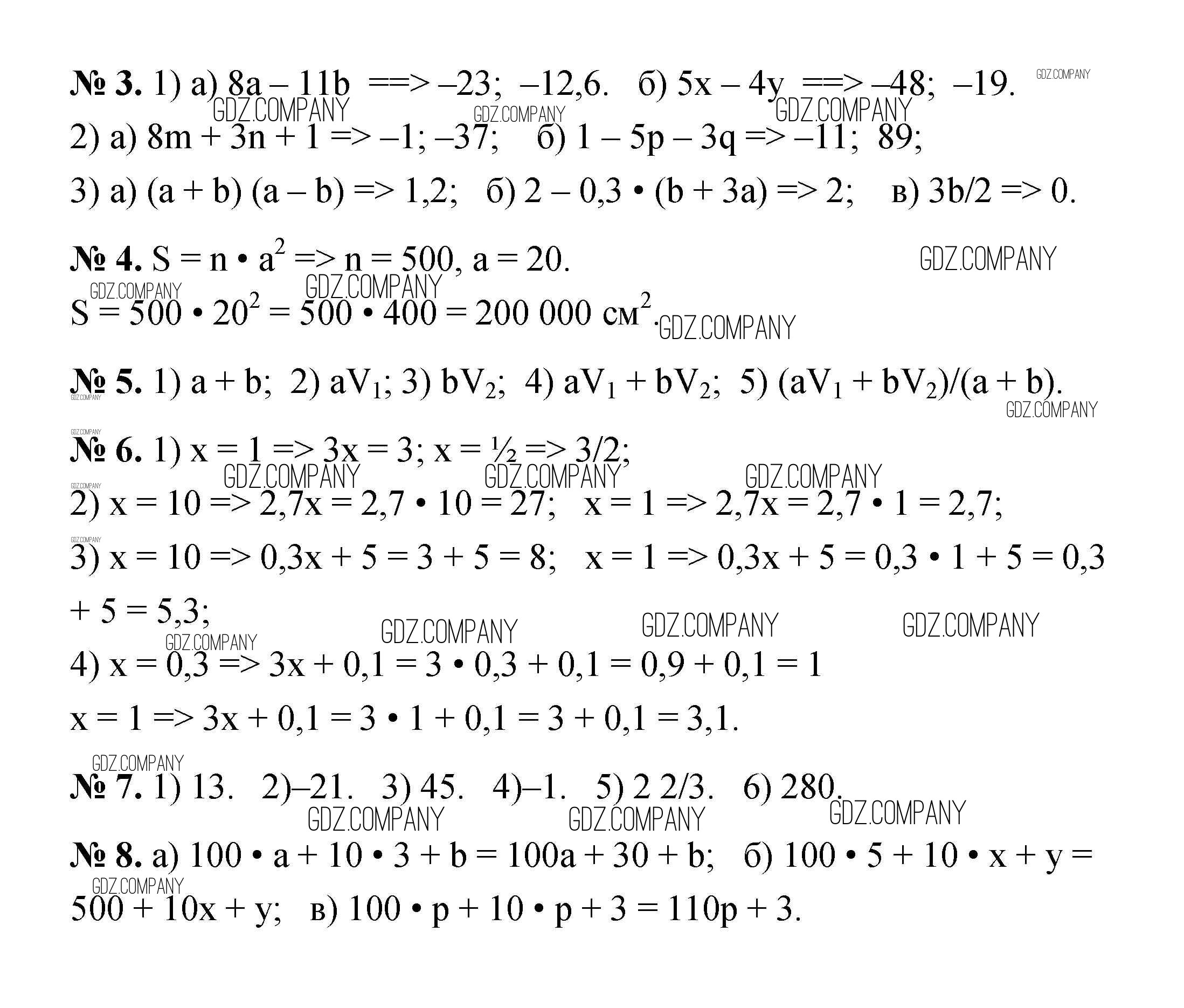
Здесь готовые ответы по Алгебре за 7 (седьмой) класс от Звавич, Кузнецова, Суворова Дидактические материалы (издательство: Просвещение от 2012 г.) № С-4. Нахождение значений буквенных выражений