Решебник №2
самостоятельная работа. вариант / вариант 1 / с-37

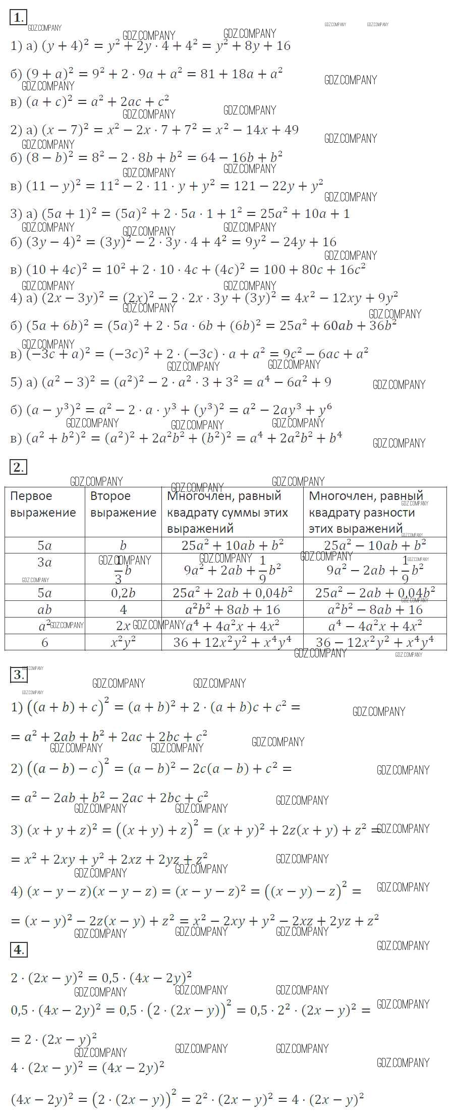
Здесь готовые ответы по Алгебре за 7 (седьмой) класс от Звавич, Кузнецова, Суворова Дидактические материалы (издательство: Просвещение от 2012 г.) № С-37. Возведение в квадрат по формулам