Решебник №1
задание на исследования / 5

Решебник №2
задание на исследования / 5

Решебник №3
задание на исследования / 5

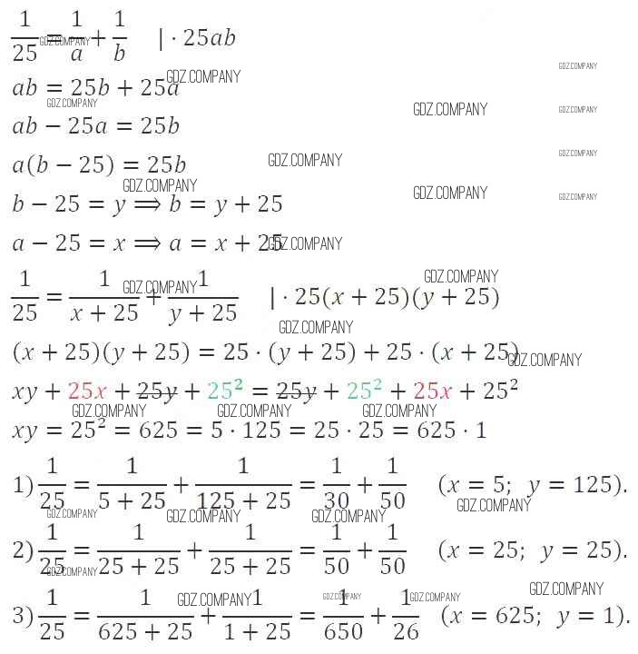
Здесь готовые ответы по Алгебре за 7 (седьмой) класс от Никольский, Потапов, Решетников, Шевкин Учебник МГУ - школе (издательство: Просвещение от 2013 г.) № 5