Решебник №1
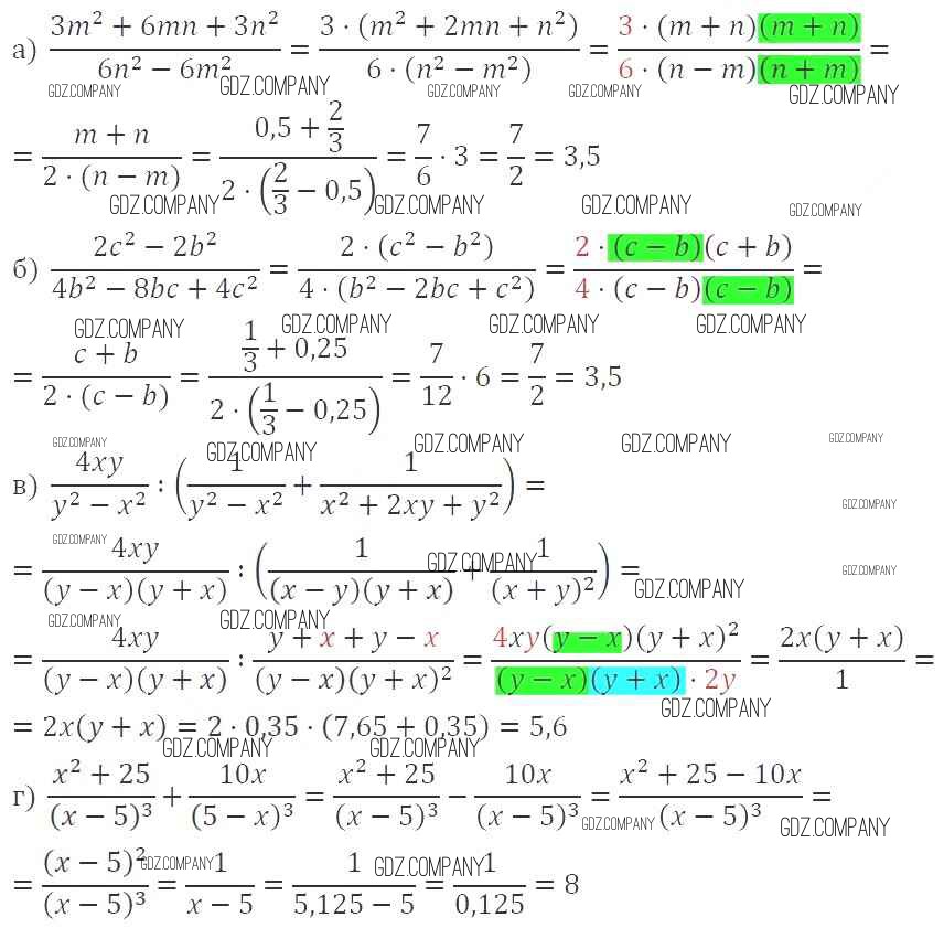
упражнение / 557

Решебник №2
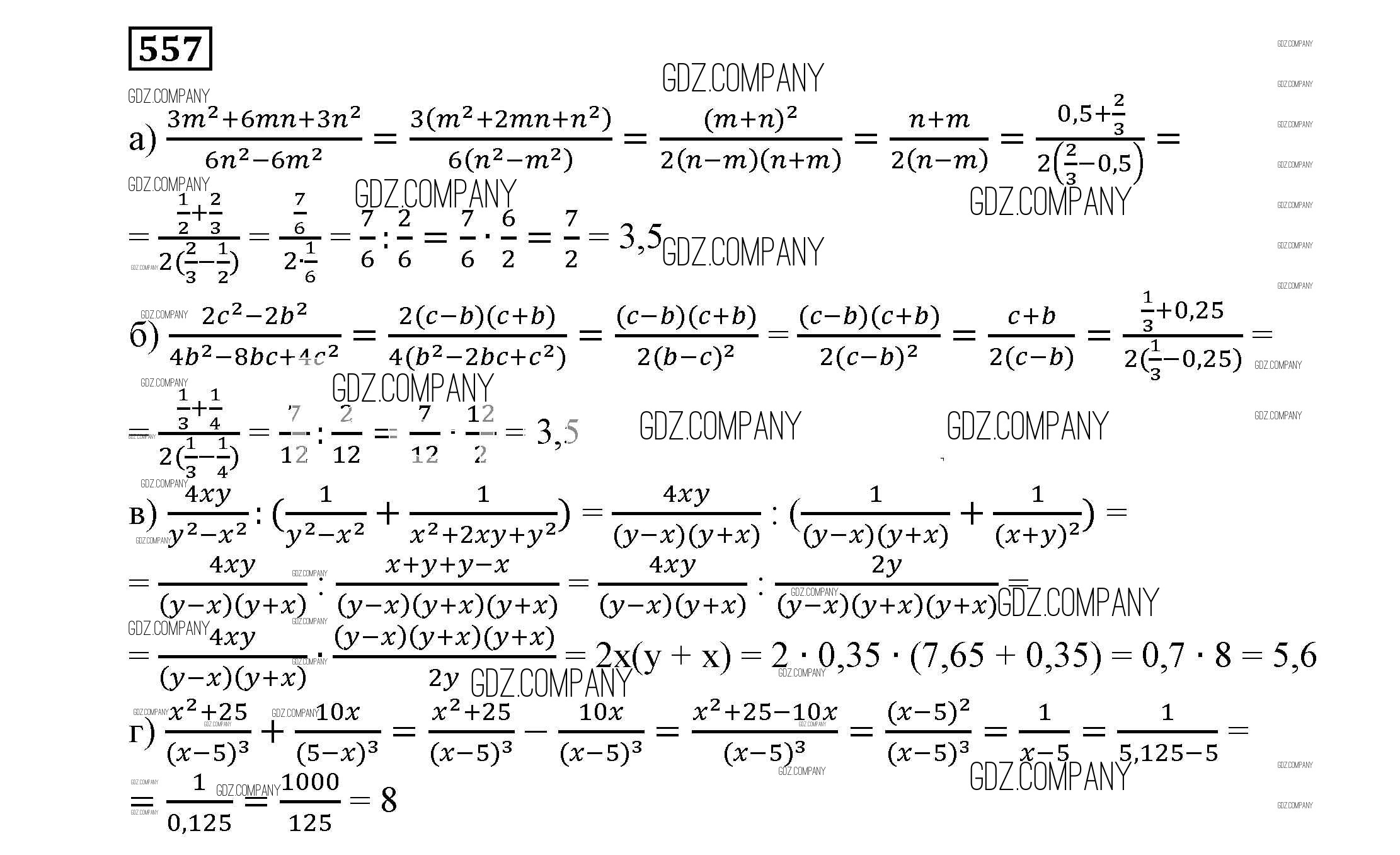
упражнение / 557

Решебник №3
упражнение / 557

Здесь готовые ответы по Алгебре за 7 (седьмой) класс от Никольский, Потапов, Решетников, Шевкин Учебник МГУ - школе (издательство: Просвещение от 2013 г.) № 557