Решебник №1
упражнение / 430

Решебник №2
упражнение / 430

Решебник №3
упражнение / 430

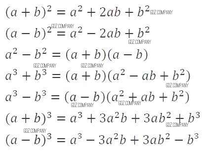
Здесь готовые ответы по Алгебре за 7 (седьмой) класс от Никольский, Потапов, Решетников, Шевкин Учебник МГУ - школе (издательство: Просвещение от 2013 г.) № 430