Решебник №1
упражнение / 380

Решебник №2
упражнение / 380

Решебник №3
упражнение / 380

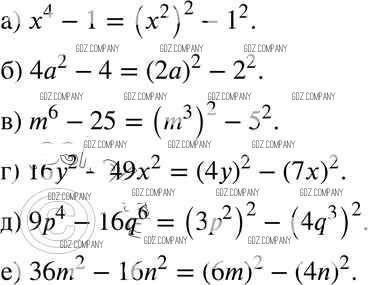
Здесь готовые ответы по Алгебре за 7 (седьмой) класс от Никольский, Потапов, Решетников, Шевкин Учебник МГУ - школе (издательство: Просвещение от 2013 г.) № 380