Решебник №1
упражнение / 339

Решебник №2
упражнение / 339

Решебник №3
упражнение / 339

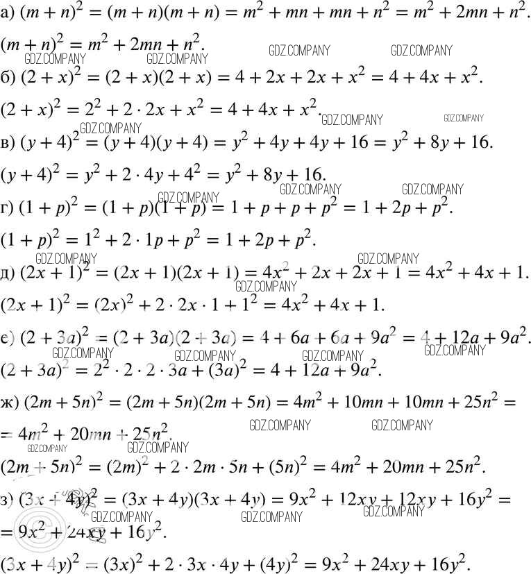
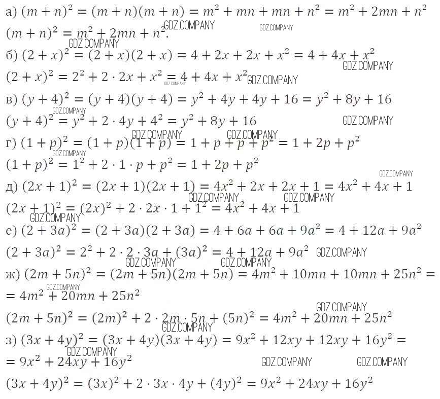
Здесь готовые ответы по Алгебре за 7 (седьмой) класс от Никольский, Потапов, Решетников, Шевкин Учебник МГУ - школе (издательство: Просвещение от 2013 г.) № 339