Условия
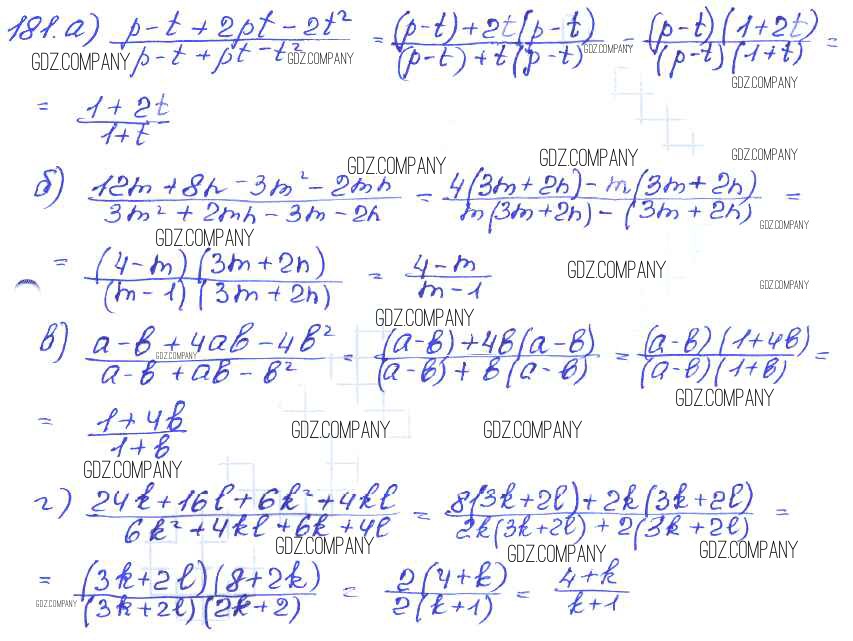
глава 9. итоговое повторение / 181

Решебник №1
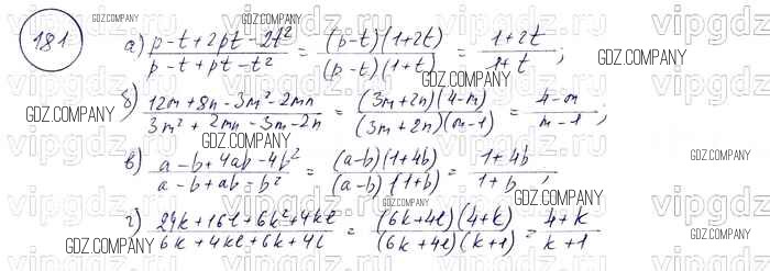
глава 9. итоговое повторение / 181

Решебник №2
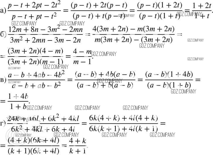
глава 9. итоговое повторение / 181

Решебник №3
глава 9. итоговое повторение / 181

Здесь готовые ответы по Алгебре за 7 (седьмой) класс от Мордкович, Александрова, Мишустина, Тульчинская Задачник Базовый уровень (издательство: Мнемозина от 2013 г.) № 181 Базовый уровень