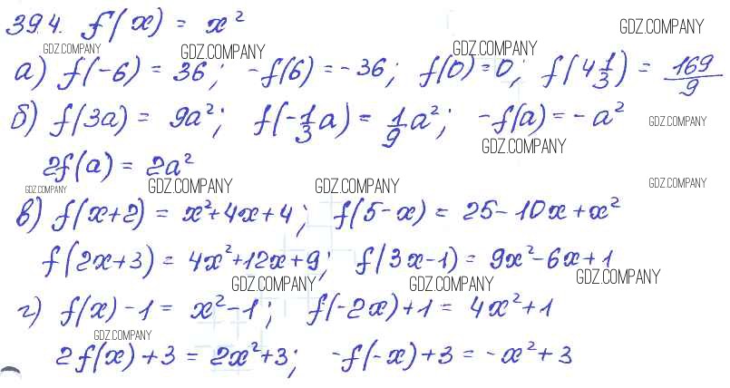
Условия
глава 8 / § 39 / 4

Решебник №1
глава 8 / § 39 / 4

Решебник №2
глава 8 / § 39 / 4

Решебник №3
глава 8 / § 39 / 4

Здесь готовые ответы по Алгебре за 7 (седьмой) класс от Мордкович, Александрова, Мишустина, Тульчинская Задачник Базовый уровень (издательство: Мнемозина от 2013 г.) № 4 Базовый уровень