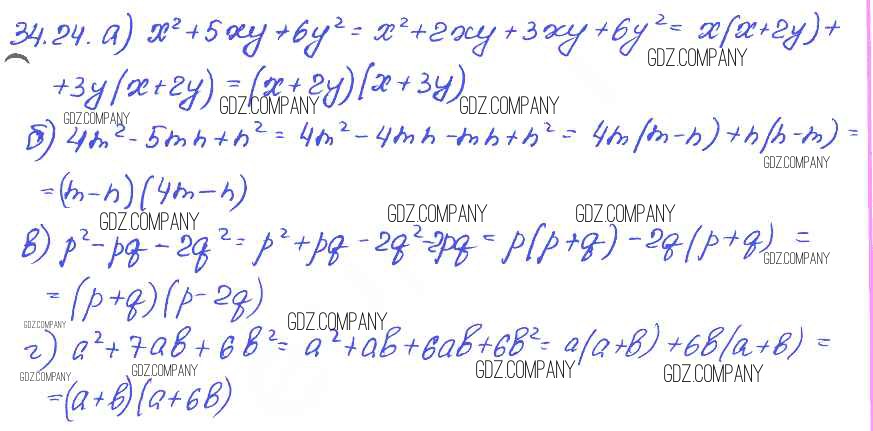
Условия
глава 7 / § 34 / 24

Решебник №1
глава 7 / § 34 / 24


Решебник №2
глава 7 / § 34 / 24

Решебник №3
глава 7 / § 34 / 24

Здесь готовые ответы по Алгебре за 7 (седьмой) класс от Мордкович, Александрова, Мишустина, Тульчинская Задачник Базовый уровень (издательство: Мнемозина от 2013 г.) № 24 Базовый уровень