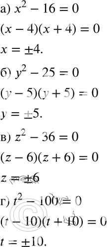
Условия
глава 7 / § 30 / 9

Решебник №1
глава 7 / § 30 / 9

Решебник №2
глава 7 / § 30 / 9

Решебник №3
глава 7 / § 30 / 9

Здесь готовые ответы по Алгебре за 7 (седьмой) класс от Мордкович, Александрова, Мишустина, Тульчинская Задачник Базовый уровень (издательство: Мнемозина от 2013 г.) № 9 Базовый уровень