Условия
глава 6 / § 28 / 47

Решебник №1
глава 6 / § 28 / 47

Решебник №2
глава 6 / § 28 / 47

Решебник №3
глава 6 / § 28 / 47

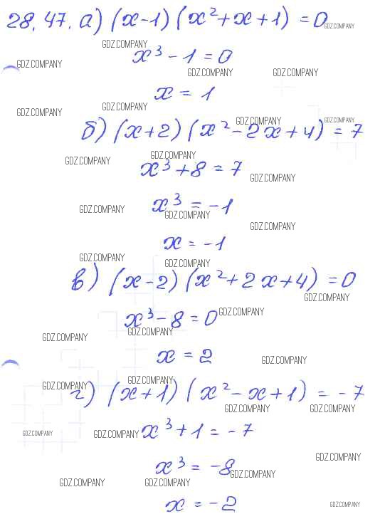
Здесь готовые ответы по Алгебре за 7 (седьмой) класс от Мордкович, Александрова, Мишустина, Тульчинская Задачник Базовый уровень (издательство: Мнемозина от 2013 г.) № 47 Базовый уровень