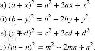
Условия
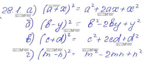
глава 6 / § 28 / 1

Решебник №1
глава 6 / § 28 / 1

Решебник №2
глава 6 / § 28 / 1

Решебник №3
глава 6 / § 28 / 1

Здесь готовые ответы по Алгебре за 7 (седьмой) класс от Мордкович, Александрова, Мишустина, Тульчинская Задачник Базовый уровень (издательство: Мнемозина от 2013 г.) № 1 Базовый уровень