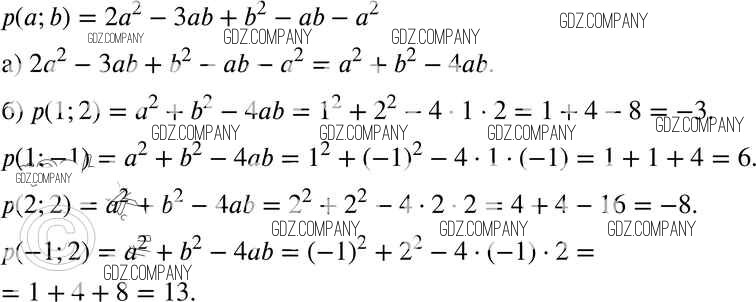
Условия
глава 6 / § 24 / 20

Решебник №1
глава 6 / § 24 / 20

Решебник №2
глава 6 / § 24 / 20

Решебник №3
глава 6 / § 24 / 20

Здесь готовые ответы по Алгебре за 7 (седьмой) класс от Мордкович, Александрова, Мишустина, Тульчинская Задачник Базовый уровень (издательство: Мнемозина от 2013 г.) № 20 Базовый уровень