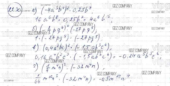
Условия
глава 5 / § 22 / 30

Решебник №1
глава 5 / § 22 / 30

Решебник №2
глава 5 / § 22 / 30

Решебник №3
глава 5 / § 22 / 30

Здесь готовые ответы по Алгебре за 7 (седьмой) класс от Мордкович, Александрова, Мишустина, Тульчинская Задачник Базовый уровень (издательство: Мнемозина от 2013 г.) № 30 Базовый уровень