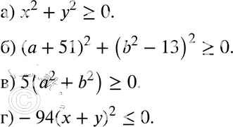
Условия
глава 4 / § 16 / 15

Решебник №1
глава 4 / § 16 / 15

Решебник №2
глава 4 / § 16 / 15

Решебник №3
глава 4 / § 16 / 15

Здесь готовые ответы по Алгебре за 7 (седьмой) класс от Мордкович, Александрова, Мишустина, Тульчинская Задачник Базовый уровень (издательство: Мнемозина от 2013 г.) № 15 Базовый уровень