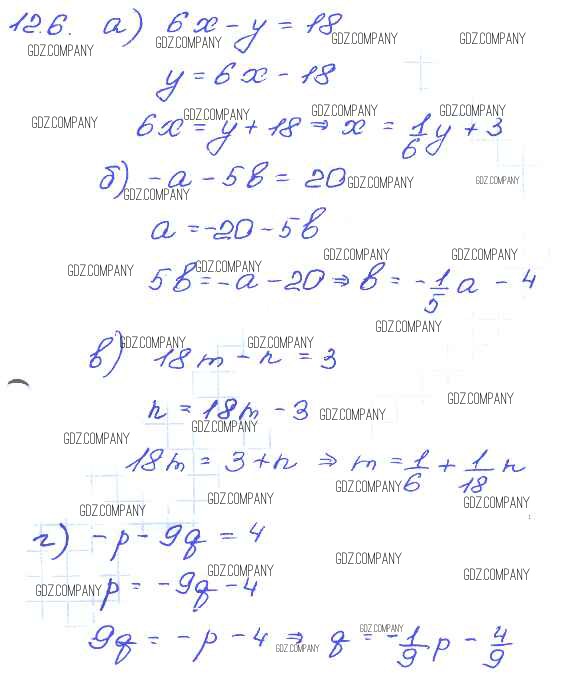
Условия
глава 3 / § 12 / 6

Решебник №1
глава 3 / § 12 / 6

Решебник №2
глава 3 / § 12 / 6

Решебник №3
глава 3 / § 12 / 6

Здесь готовые ответы по Алгебре за 7 (седьмой) класс от Мордкович, Александрова, Мишустина, Тульчинская Задачник Базовый уровень (издательство: Мнемозина от 2013 г.) № 6 Базовый уровень