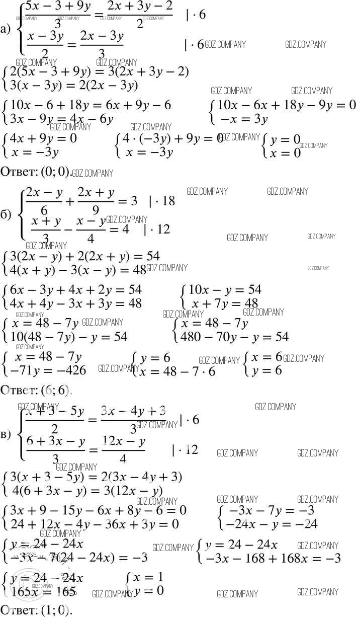
Условия
глава 3 / § 12 / 22

Решебник №1
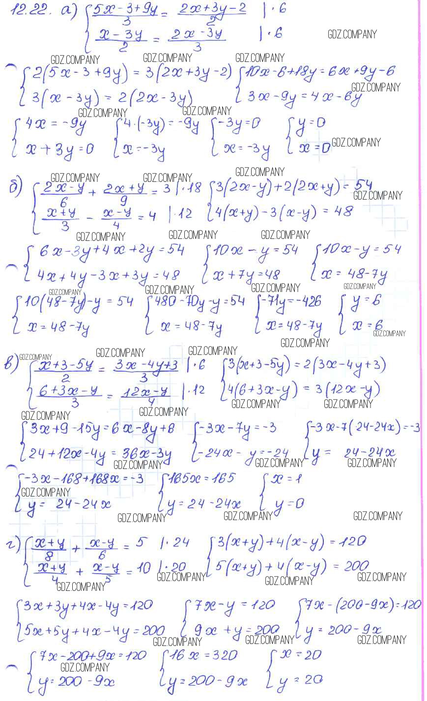
глава 3 / § 12 / 22


Решебник №2
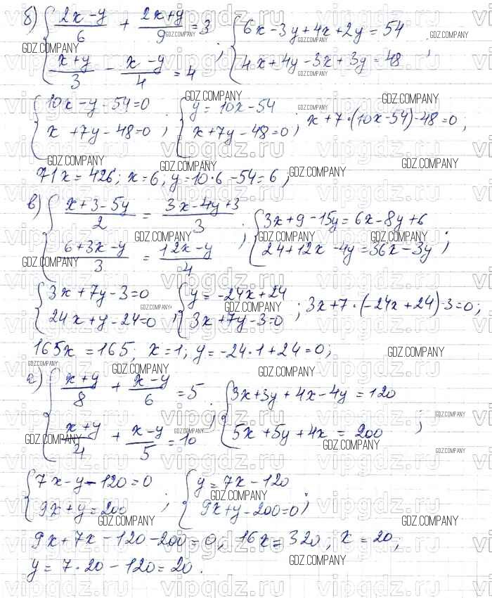
глава 3 / § 12 / 22

Решебник №3
глава 3 / § 12 / 22


Здесь готовые ответы по Алгебре за 7 (седьмой) класс от Мордкович, Александрова, Мишустина, Тульчинская Задачник Базовый уровень (издательство: Мнемозина от 2013 г.) № 22 Базовый уровень