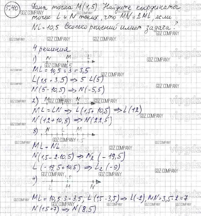
Условия
глава 1 / § 5 / 40

Решебник №1
глава 1 / § 5 / 40


Решебник №2
глава 1 / § 5 / 40

Решебник №3
глава 1 / § 5 / 40


Здесь готовые ответы по Алгебре за 7 (седьмой) класс от Мордкович, Александрова, Мишустина, Тульчинская Задачник Базовый уровень (издательство: Мнемозина от 2013 г.) № 40 Базовый уровень