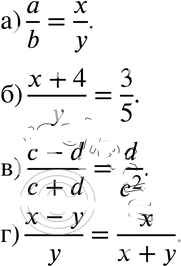
Условия
глава 1 / § 2 / 22

Решебник №1
глава 1 / § 2 / 22

Решебник №2
глава 1 / § 2 / 22

Решебник №3
глава 1 / § 2 / 22

Здесь готовые ответы по Алгебре за 7 (седьмой) класс от Мордкович, Александрова, Мишустина, Тульчинская Задачник Базовый уровень (издательство: Мнемозина от 2013 г.) № 22 Базовый уровень