Решебник
глава 3 / §13 / 2
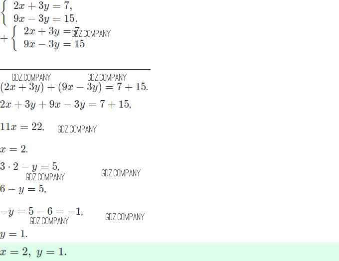
Здесь готовые ответы по Алгебре за 7 (седьмой) класс от Мордкович Учебник Базовый уровень (издательство: Мнемозина от 2013 г.) № 2 Базовый уровень