Решебник №2
проверь себя / 5 / 10

Решебник №3
проверь себя / 5 / 10

Решебник №5
проверь себя / 5 / 10

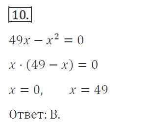
Здесь готовые ответы по Алгебре за 7 (седьмой) класс от Мерзляк, Полонский, Якир Учебник Алгоритм успеха Базовый уровень (издательство: Вентана-граф от 2016 г.) № 10 Базовый уровень