Решебник №2
проверь себя / 1 / 7

Решебник №3
проверь себя / 1 / 7

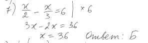
Решебник №5
проверь себя / 1 / 7

Здесь готовые ответы по Алгебре за 7 (седьмой) класс от Мерзляк, Полонский, Якир Учебник Алгоритм успеха Базовый уровень (издательство: Вентана-граф от 2016 г.) № 7 Базовый уровень