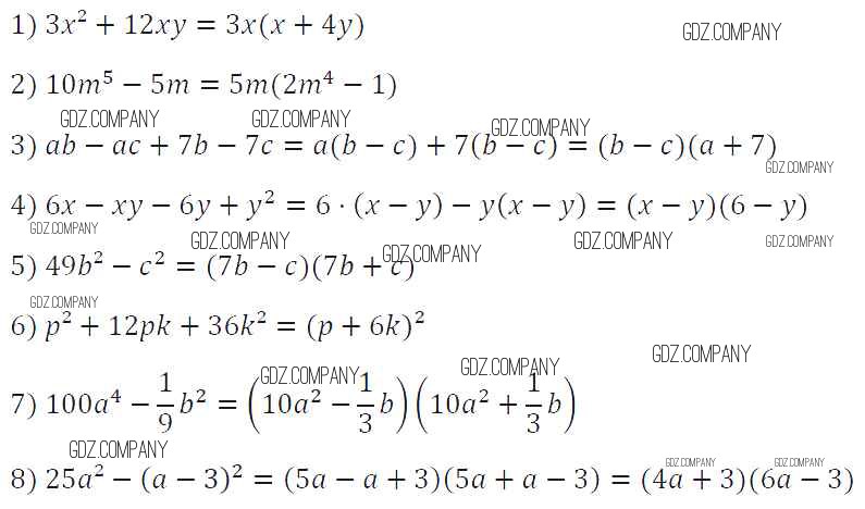
Условия
упражнение / 704

Решебник №2
упражнение / 704


Решебник №3
упражнение / 704

Решебник №4
упражнение / 704

Решебник №5
упражнение / 704

Здесь готовые ответы по Алгебре за 7 (седьмой) класс от Мерзляк, Полонский, Якир Учебник Алгоритм успеха Базовый уровень (издательство: Вентана-граф от 2016 г.) № 704 Базовый уровень