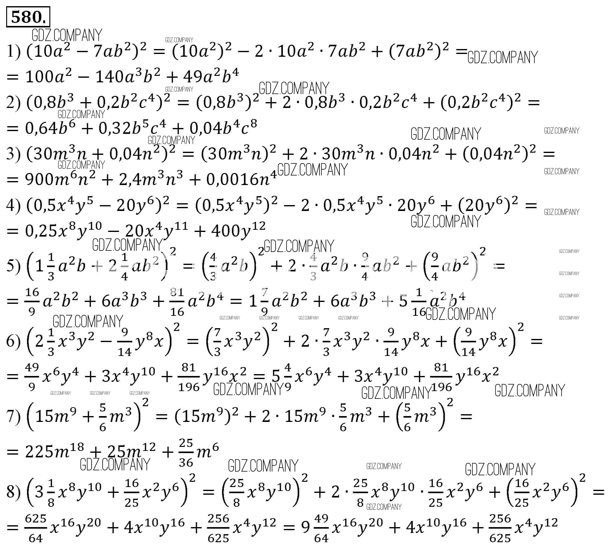
Условия
упражнение / 580

Решебник №1
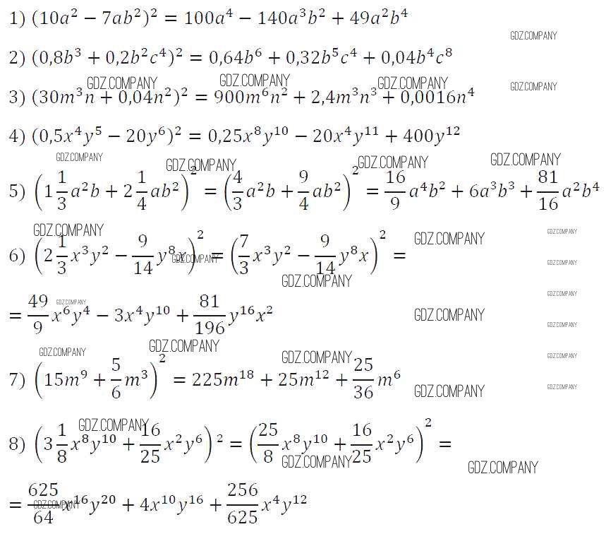
упражнение / 580

Решебник №2
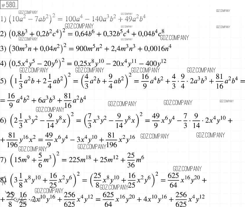
упражнение / 580


Решебник №3
упражнение / 580

Решебник №4
упражнение / 580

Здесь готовые ответы по Алгебре за 7 (седьмой) класс от Мерзляк, Полонский, Якир Учебник Алгоритм успеха Базовый уровень (издательство: Вентана-граф от 2016 г.) № 580 Базовый уровень