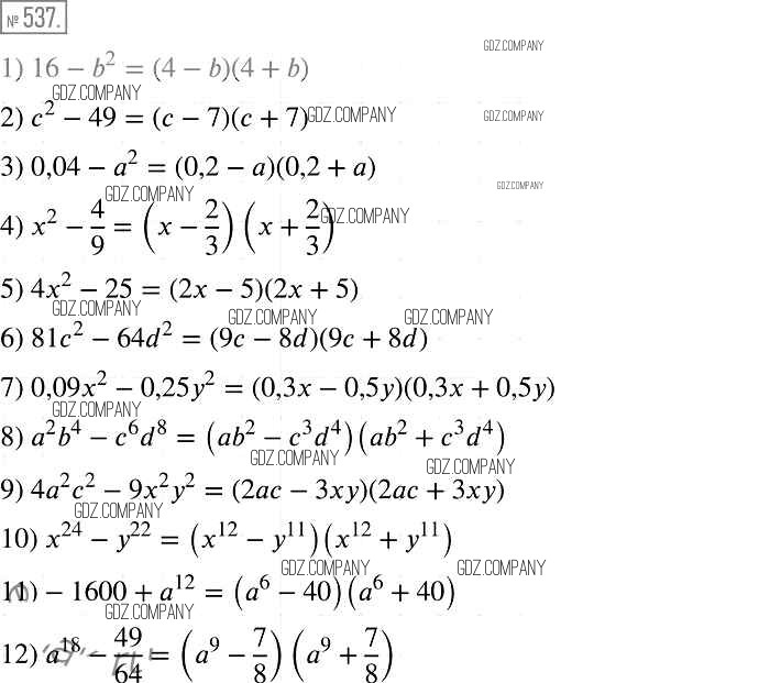
Условия
упражнение / 537

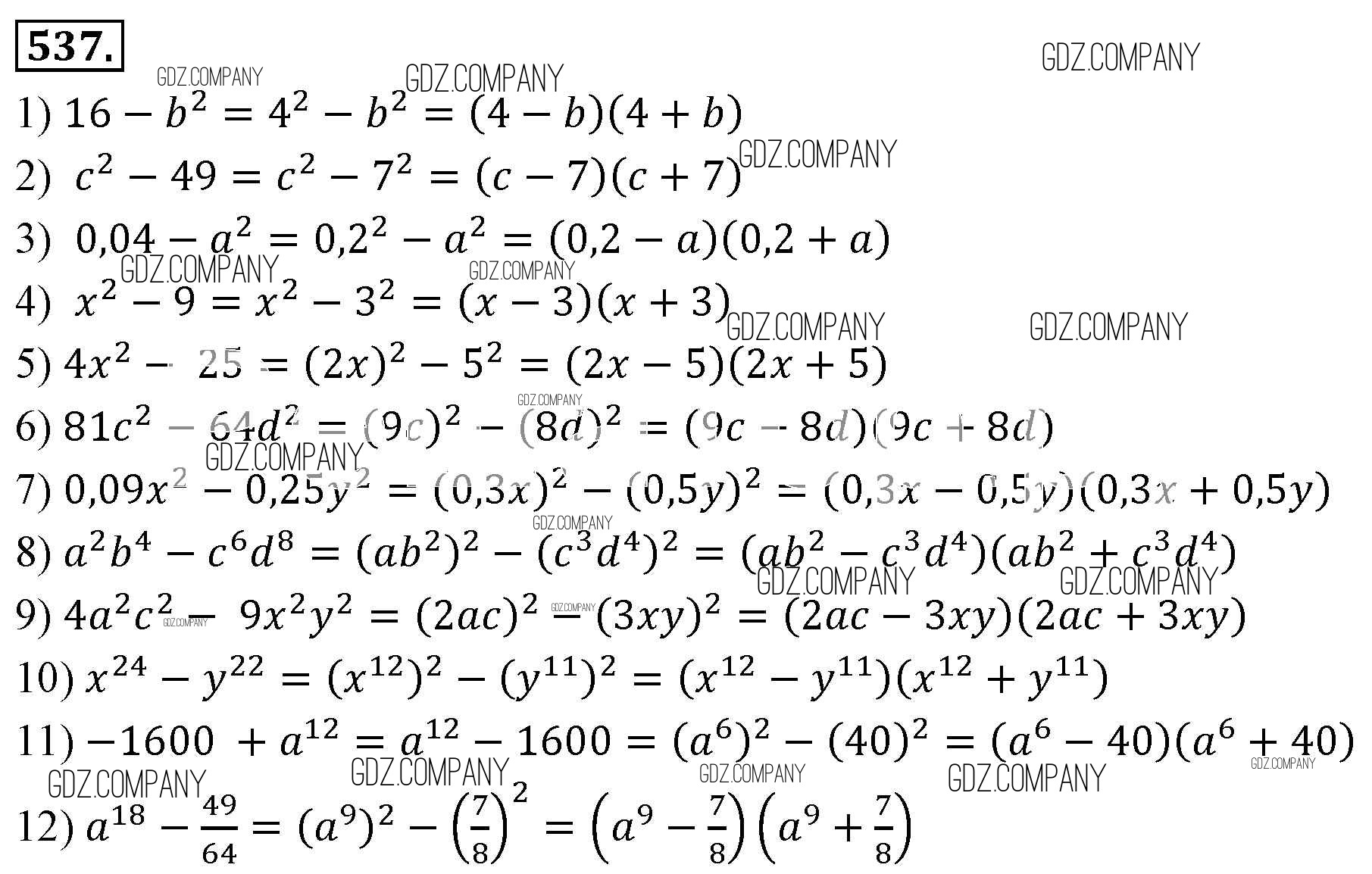
Решебник №1
упражнение / 537

Решебник №2
упражнение / 537

Решебник №3
упражнение / 537

Решебник №4
упражнение / 537

Здесь готовые ответы по Алгебре за 7 (седьмой) класс от Мерзляк, Полонский, Якир Учебник Алгоритм успеха Базовый уровень (издательство: Вентана-граф от 2016 г.) № 537 Базовый уровень