Условия
упражнение / 501

Решебник №1
упражнение / 501

Решебник №2
упражнение / 501

Решебник №3
упражнение / 501

Решебник №4
упражнение / 501

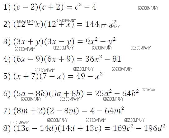
Здесь готовые ответы по Алгебре за 7 (седьмой) класс от Мерзляк, Полонский, Якир Учебник Алгоритм успеха Базовый уровень (издательство: Вентана-граф от 2016 г.) № 501 Базовый уровень