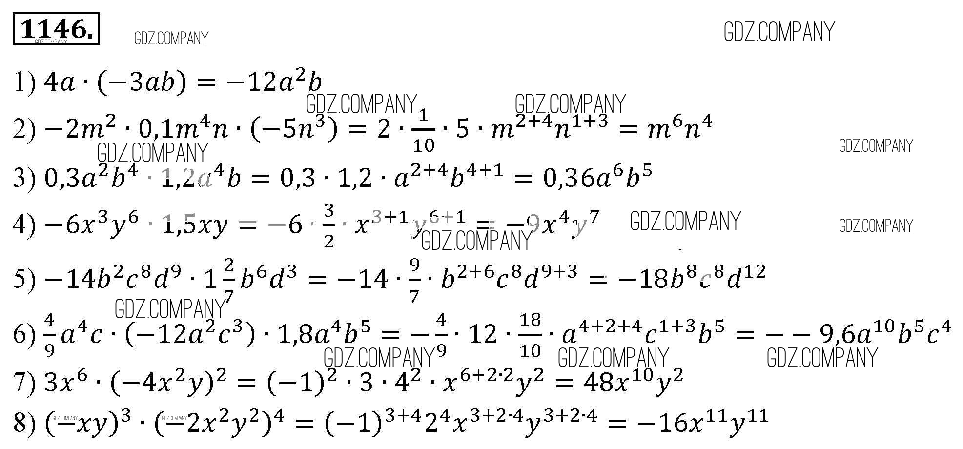
Условия
упражнение / 1146

Решебник №2
упражнение / 1146


Решебник №3
упражнение / 1146

Решебник №4
упражнение / 1146

Решебник №5
упражнение / 1146

Здесь готовые ответы по Алгебре за 7 (седьмой) класс от Мерзляк, Полонский, Якир Учебник Алгоритм успеха Базовый уровень (издательство: Вентана-граф от 2016 г.) № 1146 Базовый уровень