Решебник №1
часть 2 / §28 / 10

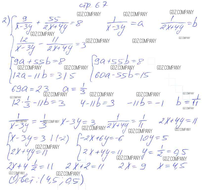
Решебник №2
часть 2 / §28 / 10


Решебник №3
часть 2 / §28 / 10

Здесь готовые ответы по Алгебре за 7 (седьмой) класс от Мерзляк, Полонский, Якир Рабочая тетрадь Алгоритм успеха (издательство: Вентана-граф от 2018 г.) № 10