Решебник №1
часть 1 / §16 / 5

Решебник №2
часть 1 / §16 / 5

Решебник №3
часть 1 / §16 / 5

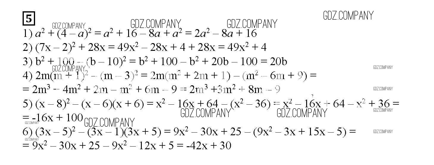
Здесь готовые ответы по Алгебре за 7 (седьмой) класс от Мерзляк, Полонский, Якир Рабочая тетрадь Алгоритм успеха (издательство: Вентана-граф от 2018 г.) № 5