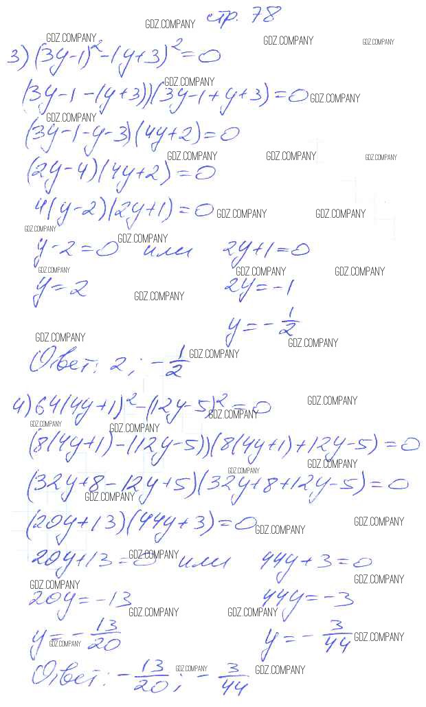
Решебник №1
часть 1 / §15 / 7

Решебник №2
часть 1 / §15 / 7


Решебник №3
часть 1 / §15 / 7

Здесь готовые ответы по Алгебре за 7 (седьмой) класс от Мерзляк, Полонский, Якир Рабочая тетрадь Алгоритм успеха (издательство: Вентана-граф от 2018 г.) № 7