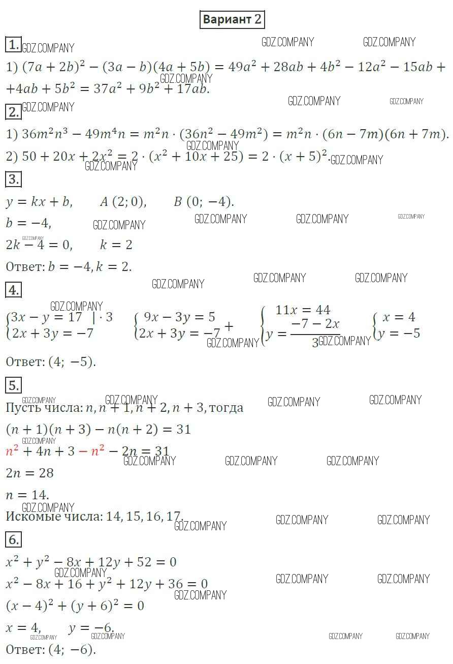
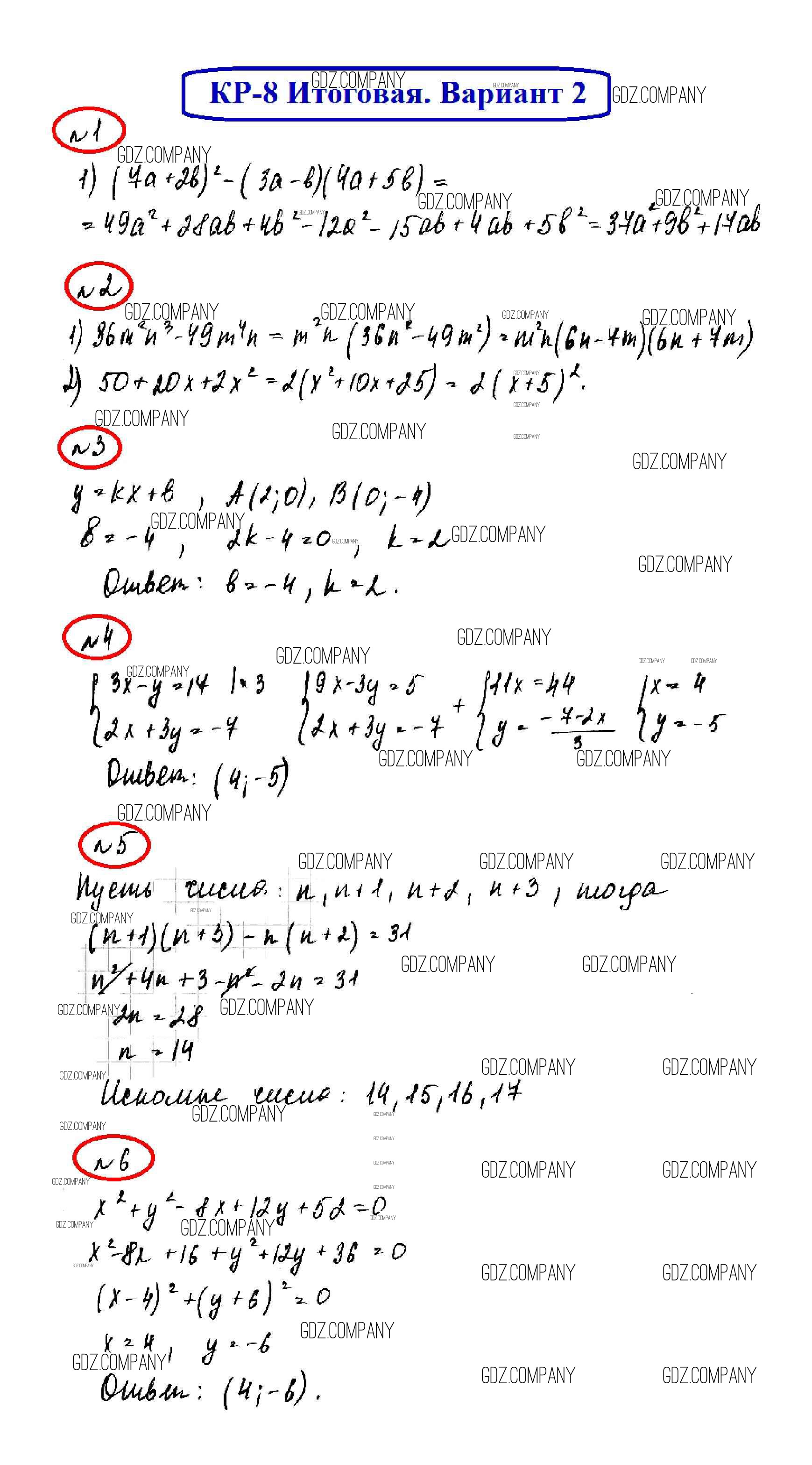
Решебник №1
контрольная работа / кр-8. вариант / 2


Решебник №2
контрольная работа / кр-8. вариант / 2

Решебник №4
контрольная работа / кр-8. вариант / 2






Здесь готовые ответы по Алгебре за 7 (седьмой) класс от Мерзляк, Полонский, Рабинович, Якир Дидактические материалы УМК (издательство: Вентана-граф от 2017 г.) № 2