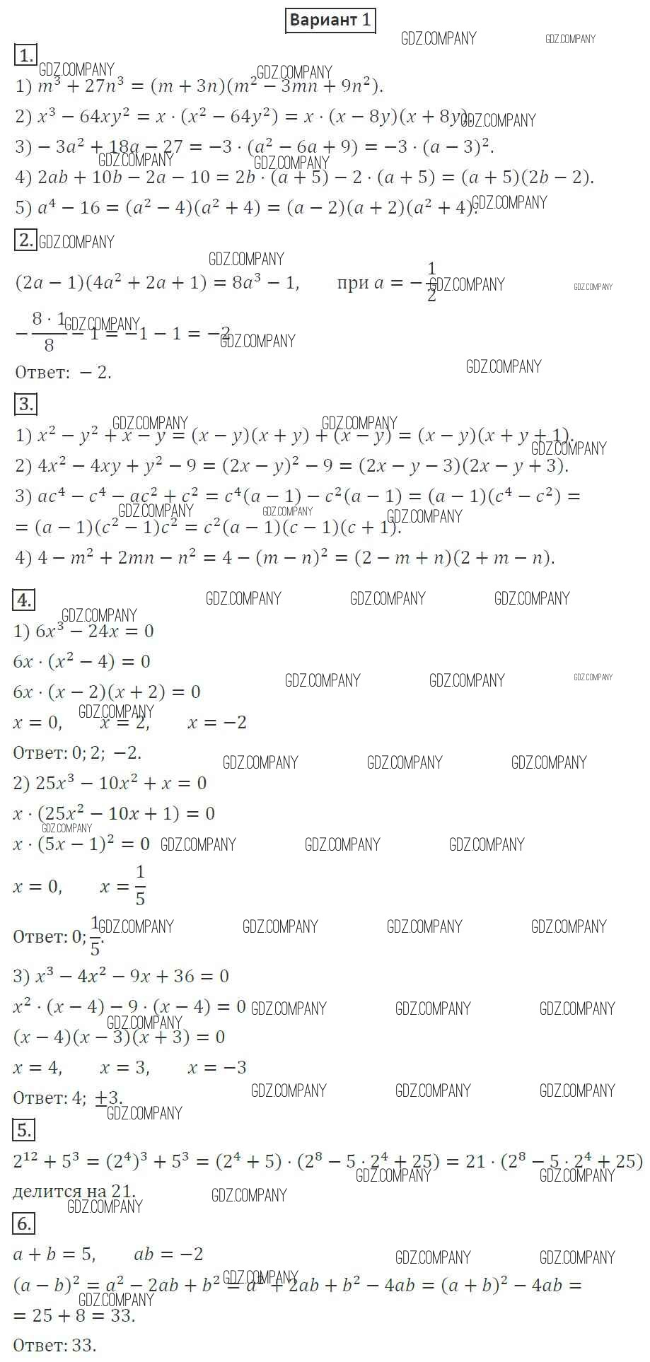
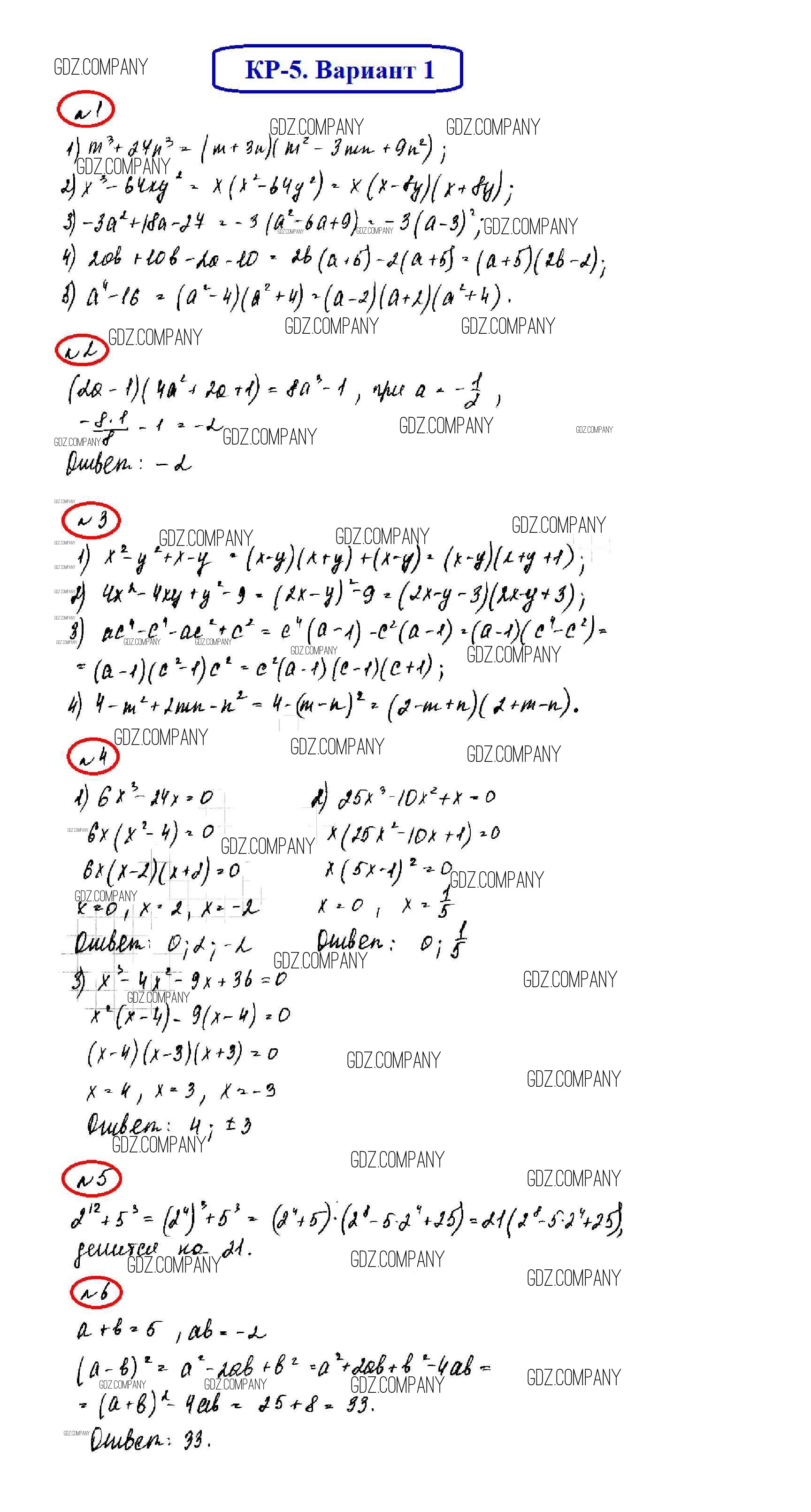
Решебник №1
контрольная работа / кр-5. вариант / 1


Решебник №2
контрольная работа / кр-5. вариант / 1

Решебник №4
контрольная работа / кр-5. вариант / 1






Здесь готовые ответы по Алгебре за 7 (седьмой) класс от Мерзляк, Полонский, Рабинович, Якир Дидактические материалы УМК (издательство: Вентана-граф от 2017 г.) № 1