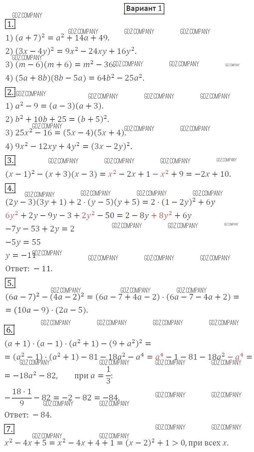
Решебник №1
контрольная работа / кр-4. вариант / 1


Решебник №2
контрольная работа / кр-4. вариант / 1

Решебник №4
контрольная работа / кр-4. вариант / 1







Здесь готовые ответы по Алгебре за 7 (седьмой) класс от Мерзляк, Полонский, Рабинович, Якир Дидактические материалы УМК (издательство: Вентана-граф от 2017 г.) № 1