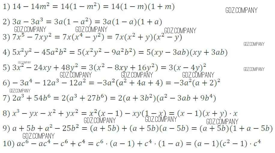
Решебник №2
вариант 2 / 144

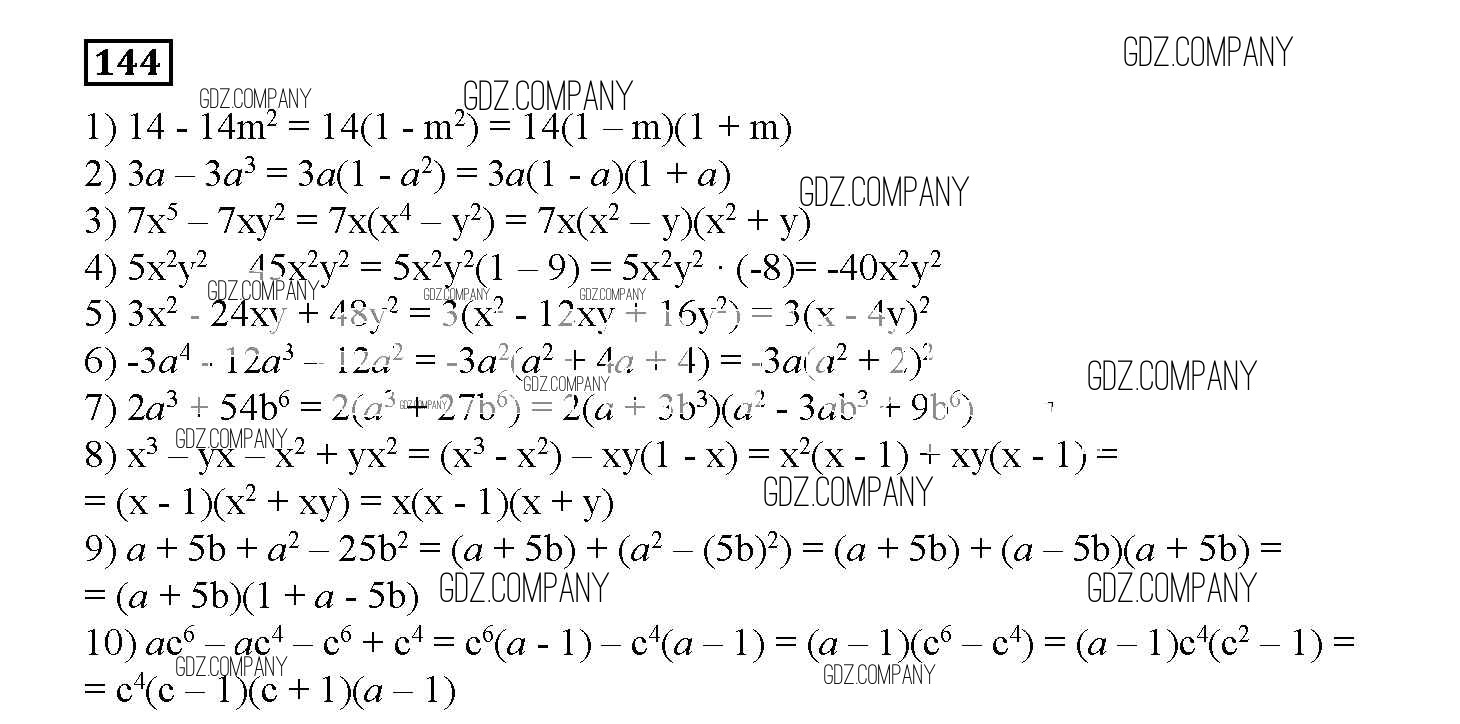
Решебник №3
вариант 2 / 144


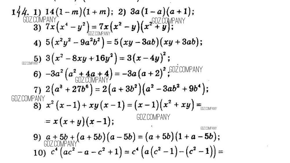
Решебник №4
вариант 2 / 144

Здесь готовые ответы по Алгебре за 7 (седьмой) класс от Мерзляк, Полонский, Рабинович, Якир Дидактические материалы УМК (издательство: Вентана-граф от 2017 г.) № 144