Решебник №1
вариант 1 / 3

Решебник №2
вариант 1 / 3

Решебник №3
вариант 1 / 3

Решебник №4
вариант 1 / 3

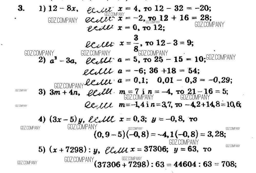
Здесь готовые ответы по Алгебре за 7 (седьмой) класс от Мерзляк, Полонский, Рабинович, Якир Дидактические материалы УМК (издательство: Вентана-граф от 2017 г.) № 3