Решебник №1
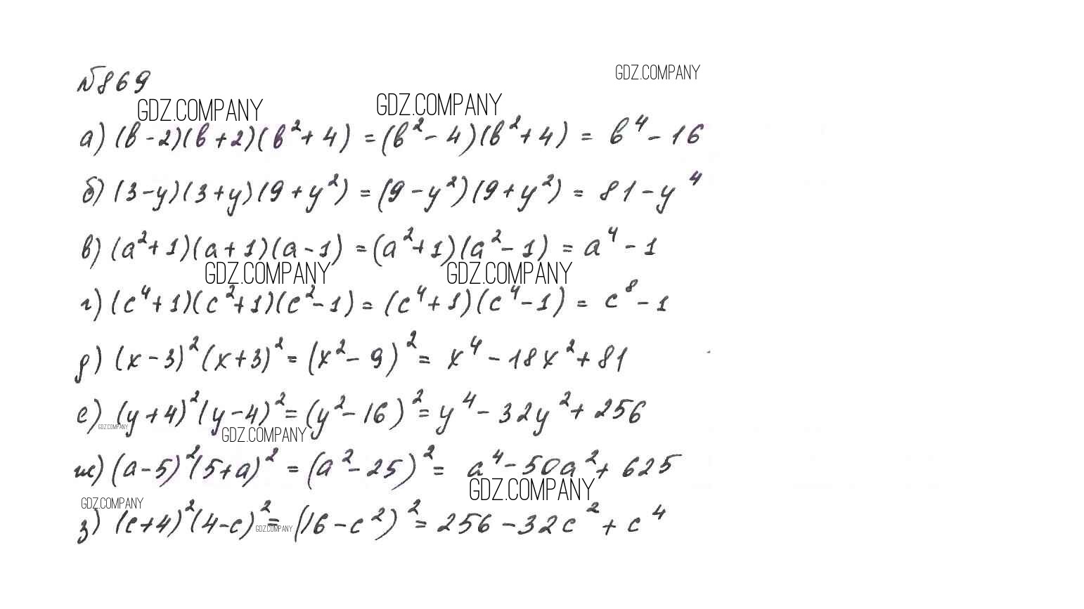
упражнение / 869

Решебник №2
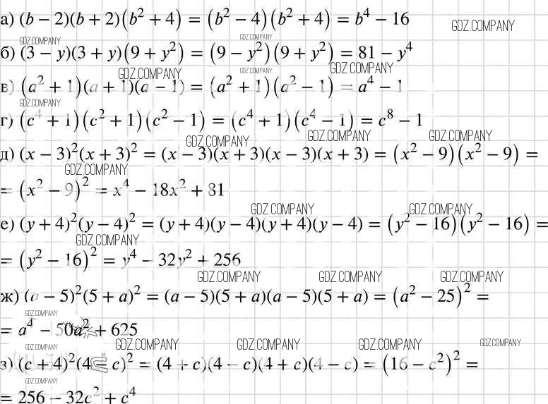
упражнение / 869

Решебник №3
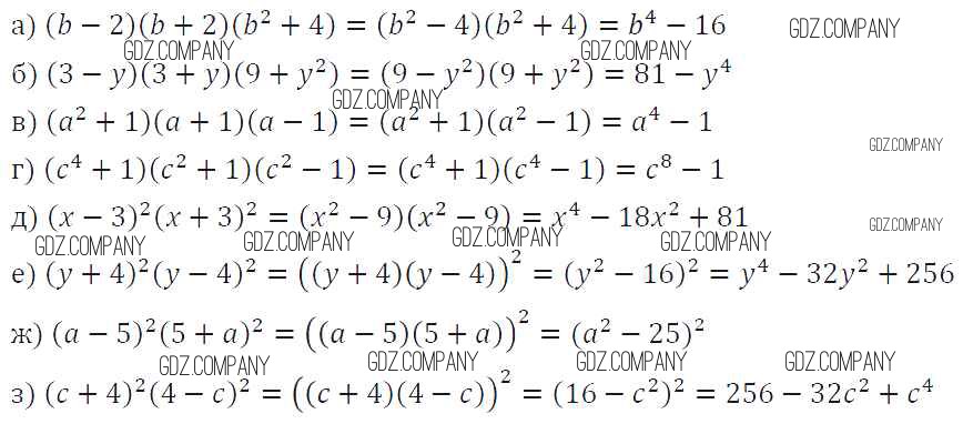
упражнение / 869

Решебник №5
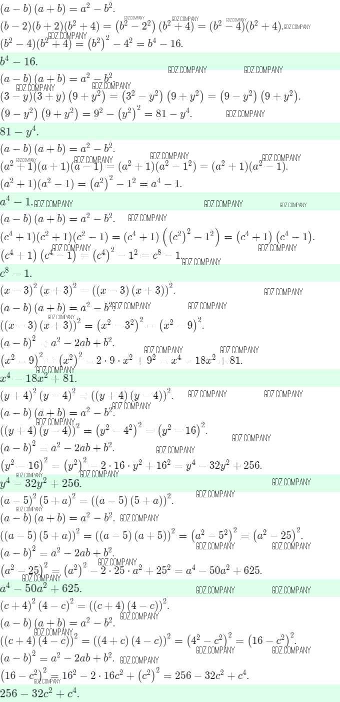
упражнение / 869


Решебник №6
упражнение / 869

Здесь готовые ответы по Алгебре за 7 (седьмой) класс от Макарычев, Миндюк, Нешков, Суворова Учебник (издательство: Просвещение от 2015 г.) № 869