Решебник №1
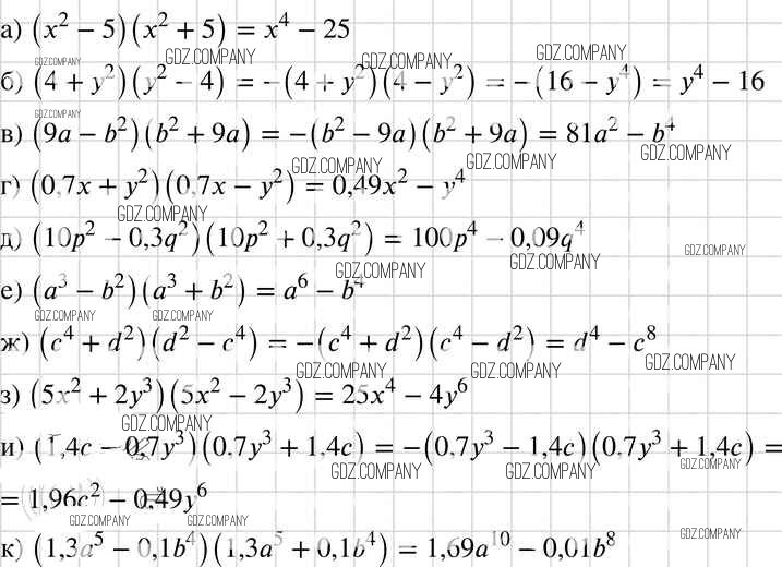
упражнение / 857

Решебник №2
упражнение / 857

Решебник №3
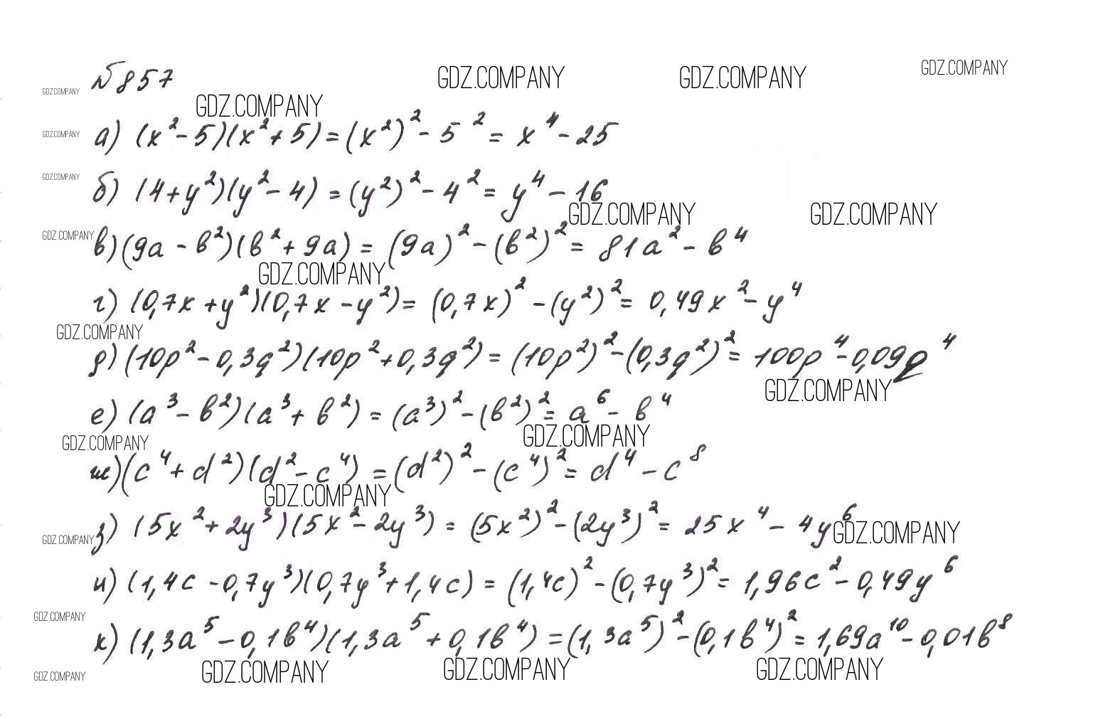
упражнение / 857

Решебник №5
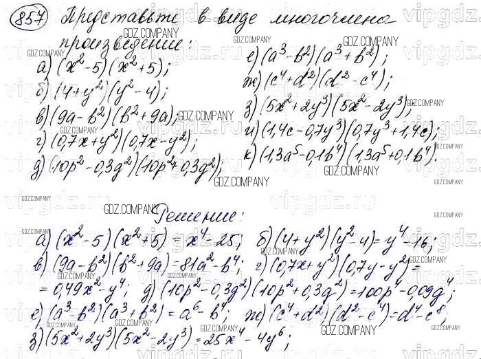
упражнение / 857


Решебник №6
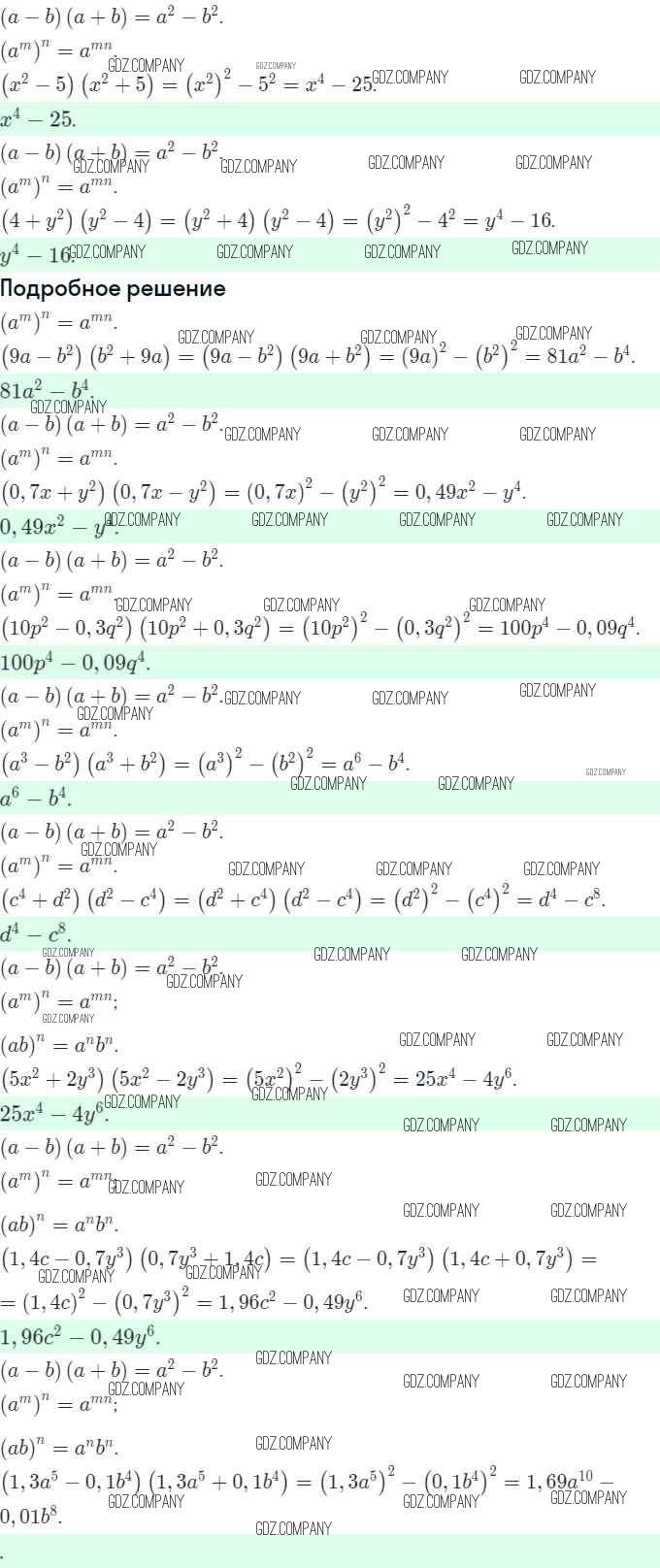
упражнение / 857

Здесь готовые ответы по Алгебре за 7 (седьмой) класс от Макарычев, Миндюк, Нешков, Суворова Учебник (издательство: Просвещение от 2015 г.) № 857