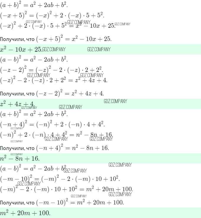
Решебник №1
упражнение / 805

Решебник №2
упражнение / 805

Решебник №3
упражнение / 805

Решебник №5
упражнение / 805

Решебник №6
упражнение / 805

Здесь готовые ответы по Алгебре за 7 (седьмой) класс от Макарычев, Миндюк, Нешков, Суворова Учебник (издательство: Просвещение от 2015 г.) № 805