Решебник №1
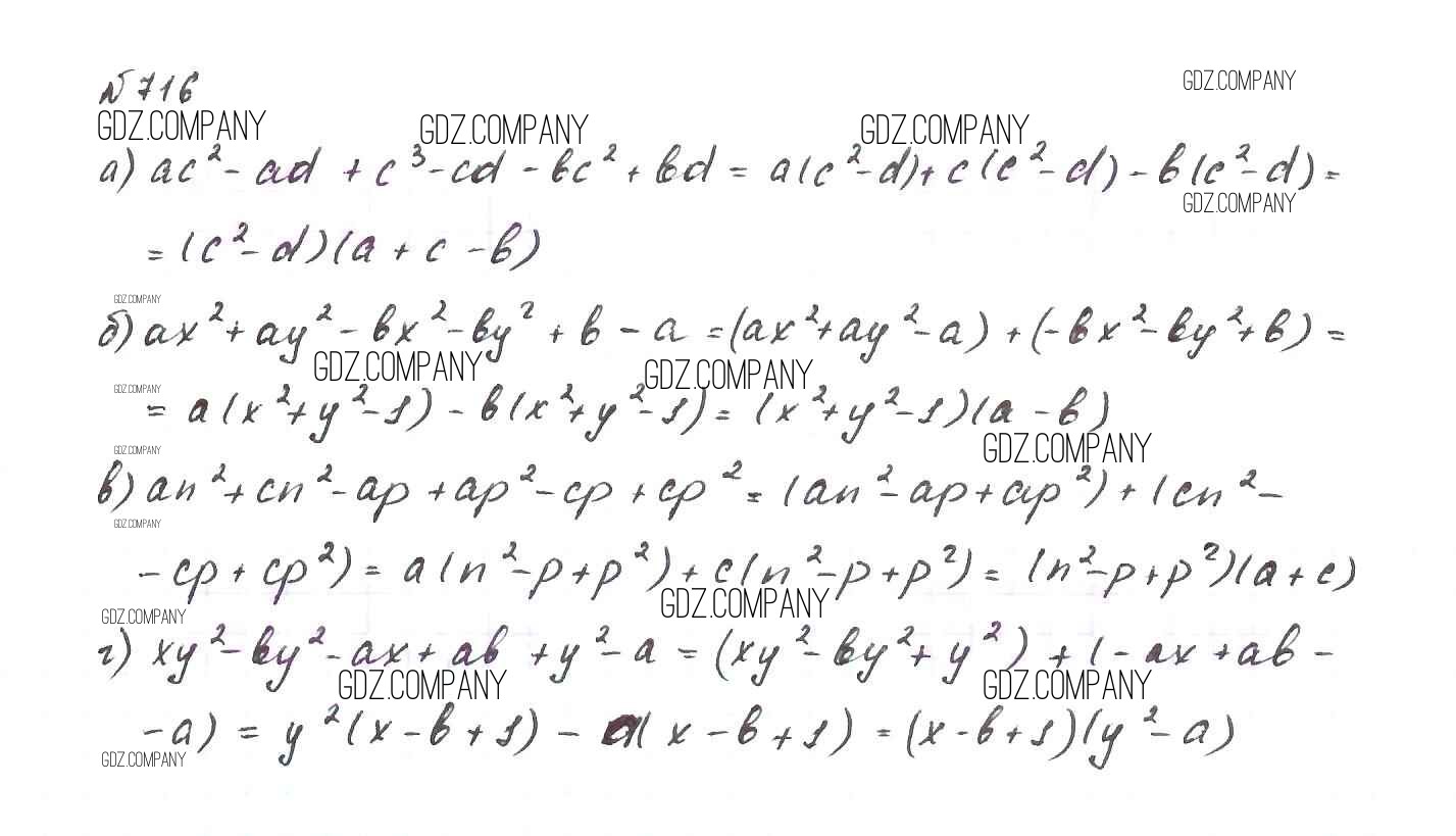
упражнение / 716

Решебник №2
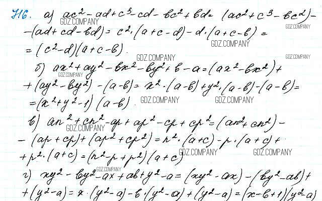
упражнение / 716

Решебник №3
упражнение / 716

Решебник №4
упражнение / 716

Решебник №5
упражнение / 716


Решебник №6
упражнение / 716

Здесь готовые ответы по Алгебре за 7 (седьмой) класс от Макарычев, Миндюк, Нешков, Суворова Учебник (издательство: Просвещение от 2015 г.) № 716