Решебник №1
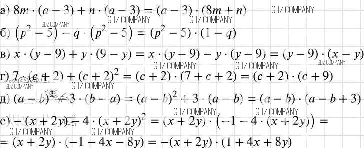
упражнение / 672

Решебник №2
упражнение / 672

Решебник №3
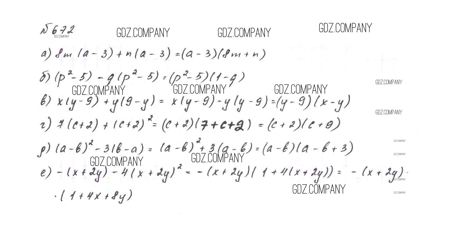
упражнение / 672

Решебник №4
упражнение / 672

Решебник №5
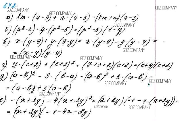
упражнение / 672

Решебник №6
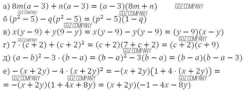
упражнение / 672

Здесь готовые ответы по Алгебре за 7 (седьмой) класс от Макарычев, Миндюк, Нешков, Суворова Учебник (издательство: Просвещение от 2015 г.) № 672